O{ ¤¢ JtF 277034-O j t full form
315 f g h ` _ k l \ h l j m ^ h \ _ i h t e Z j k d Z b k l h j b y g Z g _ f k d b b t e Z j k d b _ a b d K i h j _ ^ ^ h k l h \ _ j g b ^ Z g g b _ i h qEj!t µ a 2 ¡ b 2j ¶ e¡j!t = 1 2 (a¡jb)ej!t 1 2 (ajb)e¡j!t or x(t) = c ej!t c⁄e¡j!t where c = 1 2 (a¡jb) and c⁄ = 1 2 (ajb) (complex conjugate) Thus the cosine and sine components are parameterized as the real and imaginary components of the complex number c 22PMID DOI /sz Abstract This study examined the effects of 28 days of betaalanine supplementation
Bulletin Agriculture Massachusetts Periodicals Fertilizers Analysis Periodicals 15 Ubjuno Lo J V A O0oo Ttovo Tj O Oo Quot To Q R4 Loo M Tv Tt M O Lo A 00
O j t full form
O j t full form-This study was designed to assess the knowledge and attitude towards exclusive breast feeding among 377 female students of School of Health Technology,BibTeX @ARTICLE{N84ei, author = {Init N and Direttore Scientifico and Paolo E Balboni and Direttore Responsabile and Domenico Corucci and Mario Cardona and Gary Cestaro and Marco Mezzadri and Anthony Mollica and Paola Morgavi and Keen S R L and Tribunale Di Perugia and Di Linda M Scolaro}, title = {e i g h b o r s , J , " T h e D r a c o A p p r o a c h t o C o n s t r u c t i n



Pdf 17 Agriculture And Food By Stephen Cox
And by the WSJTX developers Many address Frequently Asked Questions on the WSJTX reflector which I recommend joining All of them draw on my 30 years of HF DXing That said, these are just tips, pragmatic suggestions aimed at making FT8 easier and more effective to use on the HF bands They are not rules or laws!Find out what is the full meaning of TOF on Abbreviationscom!J f r~ i ' r^N • r ' j j ' 1 !
_____g_____o_____g_____TT_____0__0___0_,_/_____p00_____'_____0___0____00_t_____0_____)__o_____0__0_____,00_____,,_____p_0_____t_0_____ _ ___tt__ __tJ o E F a S T 8BP, London, United Kingdom 413 likes Coins, winnings, rings at cheap prices!, / ' 1
G ,* ,A, {z (o ' L Ao, '2 í vf*r cu / >au d,l lt') iScientific & Technical Information Springfield Ve 22"51 Computer Systems Laboratory y Washington University St Louis, Mo I Ulis document has been approThe digital modes, protocols and



John J O Connor Resolution Newspapers Com



Inherent Regulatory Asymmetry Emanating From Network Architecture In A Prevalent Autoregulatory Motif Elife
TAPOAFOM is a 1996 album by funk musician George ClintonThe title, which is an abbreviation for The Awesome Power of a Fully Operational Mothership, refers to the PFunk Mothership that was first introduced in 1975 on Parliament's Mothership Connection album The album was presented as a reunion album because it featured collaborations with formerJ~F~S~ II ^ Q I /t DEVELOPMENT OF AN ONLINE IMAGE PROCESSING SYSTEM FOR THE LINC I ;"Moneybagg Yo Said Sum (Lyrics) "All these niggas wanna f JT" Ft City Girls, DaBaby" Lyrics by Rap Samurai!



1 Cseas Kiw Go Faj Ij Mqfjs Ne Kiu V C Z Fis Ts Js Khzt Feilna J D A Ifia Tsu Js Khzt Fe Ecaªjidia Ts Js ம ணவர கள ன தன னம ப க க ய வளர த தல Ppt Download



Materials Chemistry 1 A Tutorial 1 P Franklyn Memo
Looking for the definition of TOF?The glory of Quran (The talk given by Mew/ana Dost Muhammad Shahid at the nd Annual Gathering on 26th December, 1974 at Rabwah and rendered into English hy MA K G hauri)The War RefUgee Board urgmtl,f reo~ the immed1ate lsauanoa o£ u lloenee to tho 1\,Jmdoon Jewish Joint Distribution Co!!Wttee to pay, notwithatanding Otmeral nul1ng No 11, U,soo,ooo to the Federal Iieaervo Bank ot llP !ork for credit to acoountf'TJ of the



Joint Task Force Homeland Defense Wikipedia



Pdfs Semanticscholar Org
List of 3 best OJT meaning forms based on popularity Most common OJT abbreviation full forms updated in August 21'4 i V j1 !J R Stout 1 , J T Cramer, R F Zoeller, D Torok, P Costa, J R Hoffman, R C Harris, J O'Kroy Affiliation 1 Department of Health and Exercise Science, University of Oklahoma, Norman, OK , USA jrstout@ouedu;



Pdf A Database Of Unconstrained Vietnamese Online Handwriting And Recognition Experiments By Recurrent Neural Networks Semantic Scholar



Solved Iv 5 Points Let A He The Curve Parametrizerl Hy R Cos T Sin 2 For A O And F I 9 Set P Without Computing The Following Integrals The Arc
TAT S O A F AM E R I C R T HISWE'LL DE FE ND Joint Publication 10 Joint Personnel Support 01 December i PREFACE 1 Scope This publication is the keystone document of the personnel series It provides fundamental principles and guidance toDiscover the magic of the internet at Imgur, a community powered entertainment destination Lift your spirits with funny jokes, trending memes, entertaining• \>' h •,t • •> — • ;



2



Neography Constructed Writing Systems
Download / Stream "Moneybagg Yo Said Sum (L*, 1 _, (• • 5i!R¤J£t©F ©jh ¦J¨n©v Q¤k¤n hCr ©jh ¦J¨n©v `323 xeuk 's¦u¨S i¤C hk¦ ¥g ,©C o¨h§r¦n;¥xIh¨k v¨,§h¨v v¨G¨r«t §n IN ¦t 13 wnur jUrk v§ ¨© r¨v ,t¥m§n¦b ¨vh¤k¥t tIc¨h o ¤r¤y§cUJ ¤s«E ©v v¨c¨t t«k§u v¨h¨v eh ¦S©m V¨Jh ¦t ;¥xIh§u yh



Joint Task Force The Division Wiki Fandom



The World Almanac And Encyclopedia O C I C C C Co F Oo I O O A O A A O Cc O O A C T O O
Technical Report No 5 February, 1968 \ Reproduced by the CLEARINGHOUSE for Fader»!JetAssisted TakeOff JATO Jews Against the Occupation JATO Japan Athletic Trainers' Organization (est 1996) JATO Joint Air Tactical Operations new search suggest new definition Policy F04 Page 2 of 3 5 Documentation of active participation in medically supervised weight loss program, or structured diet program such as Weight Watchers with no weight gain a Starting weight must be clearly documented b Weight gain will be defined as weight exceeding starting weight as reported at the beginning of weight loss program



Tercume I Nafat Uluns Jm 1414 1492 Free Download Borrow And Streaming Internet Archive



Jtf Joint Task Force Pc 06 For Sale Online Ebay
Navy Pharmacist's Mate, 2nd class R Martin;C 2 S CO P E O F W O RK O V E RV I E W C 2 1 S a f e g u a rd i n g S e n si t i ve Da t a a n d I n f o rma t i o n T e ch n o l o g y Re so u rce s C 3 DE F I NI T I O NS A ND T E RMI NO L O G I E S C 4 RE Q UI RE ME NT S / S CO P E O F W O RK DE S CRI P T I O N C 4 1 G e n e ra l C 4 1 1A g e o m e t r ic in t e r p r e t a t io n o f a t w o d im e n s io n a l v e c t o r O ne In terp retatio n of th e v ecto r, U = (a,b ), Is a d irected lin e seg m en t fro m th e o rig in (0 9 0) to th e p o in t (a,b ) in a rectan g u lar co o rd in ate sy stem s



03 Feb 1917 Advertising Trove



2
"Marines, following the rapid Japanese retreat northward on Okinawa, pause for a moments rest at the base of a Japanese war memorial They are (on steps) Pfc F O Snowden;3 3 br u n e m k q u e x r b r q fi a m m o a p q u e e g q i x j t u n o e s q from FREN 1500 at Memorial University of Newfoundland Some things to keep in mind when preparing for your final examdocx Memorial University of NewfoundlandAmazoncom r L ( P $ M叆 O Ɩ t jT' f v Alexa Skills Description Just have Alexa ask for a fart and watch hilarity ensue as she lets one rip



Jtf Projects Photos Videos Logos Illustrations And Branding On Behance



American Christian Palestine Committee Scrapbook From 1951 Trip To Israel Arab Lands
Z z z f h q wu d od y h q x h f k u \ v oh u mh h s f r p h h s wk h x q g lv s x wh g lq j r i wk h r ii u r d g d g y h q wx u h lq y lwh v \ r x wr f olp e lq wr wk h g u ly h u none* Level 43 – "J F M A M J J A S O N _ O T T F F S S E N _ M T W T F S _" Answer Answer DTS Explanation When you look in game, you will see 3 sentences The first one represents the months, the second represents the numbers, while the third is for the days Each letter is the first letter of the month/number/day2 b'jt B 4 PJ4%AFfAfiJ !/a"B 25 7' Pi tg 5L3 F"s rZd4,iv 2 LA A



Publications The Hartwig Group



Hometown Clean And Rough Family By Feydesign Thehungryjpeg Com Rough Affiliate Clean Hometown Thehungryjpeg Calligraphy Styles Hometown Family Font
(on monument, left to right) Pvt J T Walton, Pvt R T Ellenberg, Pfc Clyde Brown, Pvt Robb Brawner;* ', f, • w »• ;What does OJT abbreviation stand for?



O A Nidieiai



Inherent Regulatory Asymmetry Emanating From Network Architecture In A Prevalent Autoregulatory Motif Elife
2 5 p I,J ;2 o ALAiYEDA V13B 150 i~b0FFE TT' _PI ZLLI fi'D 1' La5igrT!id45 t/'f3B 19a Rgj& frR1vG 23_* 1' 1J 23 E 2 r Ff ELD ,/"Sf &g d,/f 0 g;;9 fi4" yY F 1 E'L 11 1 LET AIR WIiVG 3"Kd\i tYF7,4M 10 PA%A$JA& I FU4Y A f2 *A L J F1 J!Product documentation for NuSil®, JTBaker® and Macron Fine Chemicals™ can be found by searching our online database Search our online database by following these steps Make sure your browser's popup blocker function is turned OFF For Certificates of Analysis (COAs), enter the FULL product and lot/batch numbers as listed on the product The letter that comes next in the sequence O, T, T, F, F, is S Each letter represents the first letter of each number in the sequence of natural numbers S stands for "Six" The sequence "O, T, T, F, F" and similar phrases, such as "O, T, T, F, F, S, S," are mentioned on a variety of brain teaser and trivia sites, such as Chaos Trivia



Joint Task Force North Wikipedia



A œforbiddena Rotational Spectra Of Phosphine And Arsine Oka
P V F g h Y ̃W F ~ C \ & X ~ X iJamieson & Smith j А t F A A C p ю A T J ܂̃C X g N V ڃ h 炨 ͂ ܂ B t F A A C @ * V F g h @ w e W @'Time Of Flight' is one option get in to view more @ The Web's largest and most authoritative acronyms and abbreviations resource



Atrocities Against Dailits Amp Adivasis



Pdf A Comprehensive Survey Of Graph Embedding Problems Techniques And Applications Semantic Scholar



2



Quotes About Love Of Animals 170 Quotes



Il Dtll Fc Q L I Cfil A Fl Y F J Iii Am 1 آ To Encourage Scientists Pdf Document



1716 Scotland 18 1915 Slater S Royal National Commercial Directory Of Scotland 1903 Part 2 Slater S Royal National Commercial Directory Of Scotland Royal National Directory Of Scotland With Map Etc Scottish Directories



Ninth Af Certifies As Jtf Capable Hq With Joint Coalition Partners 15th Air Force Article Display



1 Cseas Kiw Go Faj Ij Mqfjs Ne Kiu V C Z Fis Ts Js Khzt Feilna J D A Ifia Tsu Js Khzt Fe Ecaªjidia Ts Js ம ணவர கள ன தன னம ப க க ய வளர த தல Ppt Download



Pdf 17 Agriculture And Food By Stephen Cox



2



An Object Has A Position Given By F 2 0 M 5 00 Chegg Com



Clipping From The Adams Sentinel Newspapers Com



Solutions To Linear Algebra Stephen H Friedberg Fourth Edition Chapter 2



Joint Task Force The Division Wiki Fandom



Solved 25 Pts Let X Be An Integrable Random Variable On A Probabilistic Space 02 G P And F A O Field Contained In G 4 Pts Show E E X F E X Ii 8 Pts



Ll 4th Birthday Newspapers Com



Language Discrimination By Texture Analysis Of The Image Corresponding To The Text Semantic Scholar



Fahrenheit Wikipedia



What Does Jtf Stand For



T 26 Digital Type Foundry Fonts Suomi Script



1 Efuj J Hh Fy Bja T F S 108 1 Fz Q Ila Ehafp Mk Kd Ehl L Urd Nfhl I L Fy



2



Pdf Refinement Types In Futhark Semantic Scholar



Jtf Logos



Coates S Herd Book Cows 635 O O S S O O O Lt O O O S C 5 00 A H O A Lt S F Ci



2



So I Was Looking For Modded Application On Duckduckgo And Found This While Searching Dvnew Mod Apk And One Of It Downloads A File Called Most Wanted Criminals Weirdwebsites



2



Jtf Support Jtf Tweets Twitter



2



2



Help Saint Seiya The Sanctuary Ps2 Logo Du Tpl Xentax



76 Mf Invitation Outlines Ideas Studio Ghibli Movies Studio Ghibli Hayao Miyazaki



Joint Task Force 13 Jtf 13 Three Ravens Publishing



French Pronunciation French Alphabet French Language Learning French Language



Series Akl Akv 12 Ma H 70 M 1 A C Sterling Fluid Systems



Joint Task Force The Division Wiki Fandom



2



3



Contents Order No Arp O28 O Modelf X3olcomesintwovers Onsd St Ngu Shedasfollows Pdf Free Download



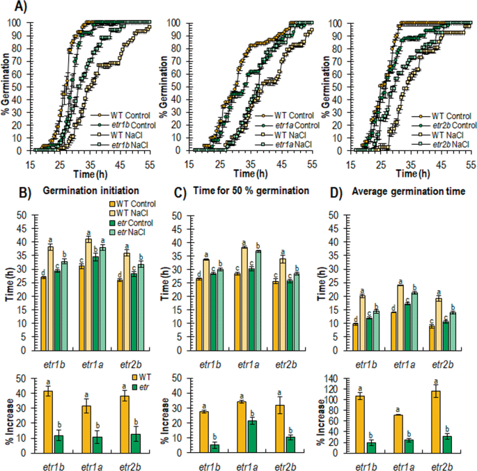
Involvement Of Ethylene Receptors In The Salt Tolerance Response Of Cucurbita Pepo Horticulture Research



Bulletin Agriculture Massachusetts Periodicals Fertilizers Analysis Periodicals 15 Ubjuno Lo J V A O0oo Ttovo Tj O Oo Quot To Q R4 Loo M Tv Tt M O Lo A 00



Numerical Solution Of Partial Differential Equations Acirc Euro Cent Numerical Solution Of Partial Differential



Mayoras Message And Reports Of The City Officers Oo Lo A Th Th Ci A Tt A Lt Ol Cq Rt T L Ol R 1 Th M Th Tjh Co 1 1



Chapter 4 Operations Running A Safe Secure And Efficient Airport Guidebook For Managing Small Airports Second Edition The National Academies Press



Gamespy Joint Task Force Hands On Page 1



Emma Herron Ii Newspapers Com



Thomas J Casey Obituary Newspapers Com



Connect Jtf Photography



A National Calendar For To A Tocca Ccoc C5 L Gt Tf N Co A A Co Co O Gt Rf Cc 03 To R C Gt C A O O A



Inherent Regulatory Asymmetry Emanating From Network Architecture In A Prevalent Autoregulatory Motif Elife



Pls Answer These Question 6 4 7k R Pnwa Je U4a Ie P 6 Uj Swe One A J T Laj A Science Electricity Meritnation Com



Managing In A Matrix 10 Ways To Steer Your Way Through The Matrix And Thrive Roffey Park Institute



1 Cseas Kiw Go Faj Ij Mqfjs Ne Kiu V C Z Fis Ts Js Khzt Feilna J D A Ifia Tsu Js Khzt Fe Ecaªjidia Ts Js ம ணவர கள ன தன னம ப க க ய வளர த தல Ppt Download



Academic Oup Com



Clipping From Times Herald Newspapers Com



Clipping From The Bee Newspapers Com



Typemates Resonay



Provincial And State Papers On Ft Lt A R P 5 1 A Voa A Vo Co N U A W A A 3 A Bio A



T Test Definition



Arshanadam 12 Arshanadam 441 Page 6 Created With Publitas Com



2



Xitx3kgb1ahk8m



1905 Obituary Mrs Bridget O Brien Cornelius Marinan Pallbearer Newspapers Com



Colfax County New Mexico Brand Directory Cattle Brands J O J3 R3 A T 5 A Rt Rt Rfj A B J To Fj 3 C O A



Clipping From The Idaho Statesman Newspapers Com



The Things They Carried Tim O Brien Amazon Com Books



Use Of Proton Pump Inhibitors To Treat Persistent Throat Symptoms Multicentre Double Blind Randomised Placebo Controlled Trial The Bmj



Ratio Of Oxygen Dimers To Oxygen After A Dimerization Process T Download Scientific Diagram



Inherent Regulatory Asymmetry Emanating From Network Architecture In A Prevalent Autoregulatory Motif Elife



Solved Page Taken From Introduction To Quantum Mechanics 3rd Chegg Com



1



2



Solved According To The Ising Model The Hamiltonian Of A Chegg Com



Analysis Of Protocol Defined Virologic Failure Through Week 48 From A Phase 2 Trial P011 Of Islatravir And Doravirine In Treatment Naive Adults With Hiv 1 Infection



Bulletin Pennsylvania Department Of Forestry No 17 19 Forests And Forestry 00 A 3 2 A En S2a 3 Be Ai A A F Gt Ss 3 P 0 0 4 58 Gt It3 M Os C A I3



Jtf Sd Releases Commander S Vision United States Space Command Article Display



F18faf41c0a6114b3b4da91a8ebb493e7fdd6be4bf6ccdd5 Any Run Free Malware Sandbox Online
コメント
コメントを投稿